논문 링크: https://dl.acm.org/doi/pdf/10.1145/3641519.3657457

요약
전통적인 2D 애니메이션에서 주로 사용되는 Smear Frames 라는 기법이 있습니다. 2D가 아닌 3D 상에서 이러한 효과를 재현하기 위해 사용되던 모션 블러 혹은 스쿼시 앤 스트레치 기법들은 물리 시뮬레이션에 의존하거나 후처리 단계에서 이루어져서 아티스트가 직관적으로 제어하기 어렵다는 단점이 있었습니다. 이 논문은 애니메이션의 궤적에 따라 자동적으로 Smear Frames을 생성하면서도, 아티스트가 제어 가능한 방법론을 제시합니다.
세부 설명
가이드라인
저자들은 연구를 수행하기 전, 애니메이터들을 만나며 다음과 같은 가이드라인을 설립했습니다.
- 스미어 프레임은 (1) 시각적 잔상을 남기고 (2) 관측자의 시선을 끌기 위한 놀람 효과, 이 두가지를 달성하는 것이 주 목표입니다
- 일반적인 애니메이션 워크플로우에 잘 녹아들어야 합니다. 실시간으로 조작 가능해야하고, 아티스트는 수동으로 추가 조정할 수 있어야 하며 모션 자체를 변경하면 안됩니다
- 모션 스타일화는 아티스트에 의해 완전히 커스텀 가능해야합니다
이 가이드라인을 따르기 위해서 저자들은 모션 오프셋이라는 개념을 도입합니다.
모션 오프셋, Motion Offset
이 논문에서 'Motion Offsets(모션 오프셋)

이라는 개념은 메쉬의 어떤 부분이 움직임을 이끌고(leading), 어떤 부분이 뒤따라가는지(trailing)를 정의하는 개념입니다. 각 버텍스에 대해서 오프셋 값을 계산해 여러 스타일화 함수를 통과시킵니다.

논문에선 단순한 물체에서부터 시작해서 관련 캐릭터에서의 모션 오프셋을 계산하는 방법을 설명합니다.
단순 물체에서의 모션 오프셋 계산

물체의 중심과 이동 속도 벡터를 기준으로 평면을 정의하고 각 버텍스가 평면으로부터 얼마나 떨어져있는지를 계산합니다. 이를 물체 전체의 크기로 정규화하여 사용합니다.

0보다 크다면 움직임을 이끄는 앞부분으로 그림 상에서 빨간색으로 표시되며, 0보다 작다면 그 반대입니다.
관절 캐릭터의 모션 오프셋 계산

단순 평면 분할은 관절별 움직임이 다른 캐릭터에 적용하기 부적합합니다.
뼈를 기준으로 리본 형태의 분할 면을 먼저 정의합니다. 각 버텍스는 스키닝 가중치를 고려해서 해당 뼈대의 운동 방향에 따른 오프셋 값을 리본 형태의 분할 면에서 정의되는 리본 법선(n)을 기준으로 계산합니다. 다만 이때 뼈의 축과 운동 방향이 평행할 경우에 발생하는 전단 현상을 방지하기 위해서 Collinear Weight을 적용합니다.

스타일화

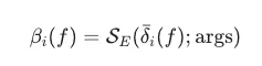
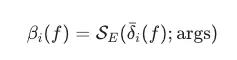
- Elongated In-betweens
- 버텍스를 궤적 따라 이동시키고, 이전/다음 프레임과 겹쳐서 만화적 과장 효과(변위, 베타)를 표현합니다

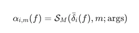
- Multiple In-betweens
- 물체의 복사본을 궤적 상의 과거, 미래 위치에 배치하고 불투명도(알파)를 조절합니다

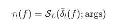
- Motion Lines
- 메쉬 표면의 일부 점을 Seed로 삼아 궤적을 따라 선(타우)을 생성합니다

'연구' 카테고리의 다른 글
| MHR (Momentum Human Rig) 파라미터 및 Joint Hierarchy (0) | 2025.12.18 |
|---|---|
| [논문리뷰] Text-to-Any-Skeleton Motion Generation Without Retargeting (0) | 2025.11.25 |
| Gradient, Jacobian, Hessian, Laplacian의 정의와 기하학적 의미, 예시 (0) | 2025.11.17 |
| [논문리뷰] DisCoRD: Discrete Tokens to Continuous Motion via Rectified Flow Decoding (0) | 2025.11.03 |
| [논문리뷰] Mean Value Coordinates for Closed Triangular Meshes (0) | 2025.10.23 |